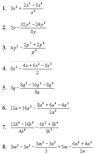
Giant Fraction Exercise Sheet

part of the official Doug Simms Online site

smart board white

Send me email at: dougsimmsonline@gmail.com

HOME

Back to Giant Fractions


smart board white