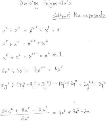
Dividing Polynomials Examples

part of the official Doug Simms Online site

smart board white

Send me email at:dougsimmsonline@gmail.com

HOME

Back to Dividing Polynomials


smart board white