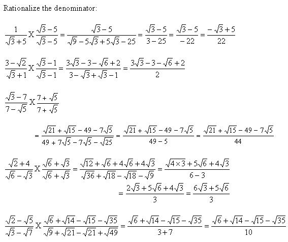
Rationalize Binomial Denominator Answers

part of the official Doug Simms Online site

smart board white

Send me email at:dougsimmsonline@gmail.com

HOME

 

Back to Rationalize Binomial Denominators 


smart board white