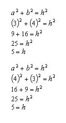
Which is Side a and Which is Side b Examples

part of the official Doug Simms Online site

beanie babies collectibles rare collecters item antique trade trading card cards

Send me email at:dougsimmsonline@gmail.com

HOME

Back to Which is Side a

and Which is Side b


beanie babies collectibles rare collecters item antique trade trading card cards