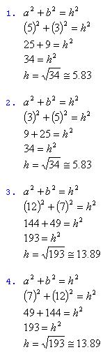
Which is a and Which is b

Answers

part of the official Doug Simms Online site

smart board white

Send me email at:dougsimmsonline@gmail.com

HOME

 

Back to Which is a and Which is b


smart board white