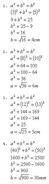
Find Sides with Pythagorean Theorem

Answers

part of the official Doug Simms Online site

smart board white

Send me email at:dougsimmsonline@gmail.com

HOME

 

Back to Find Sides With Pythagoras


smart board white